Ответы
Ответ дал:
0
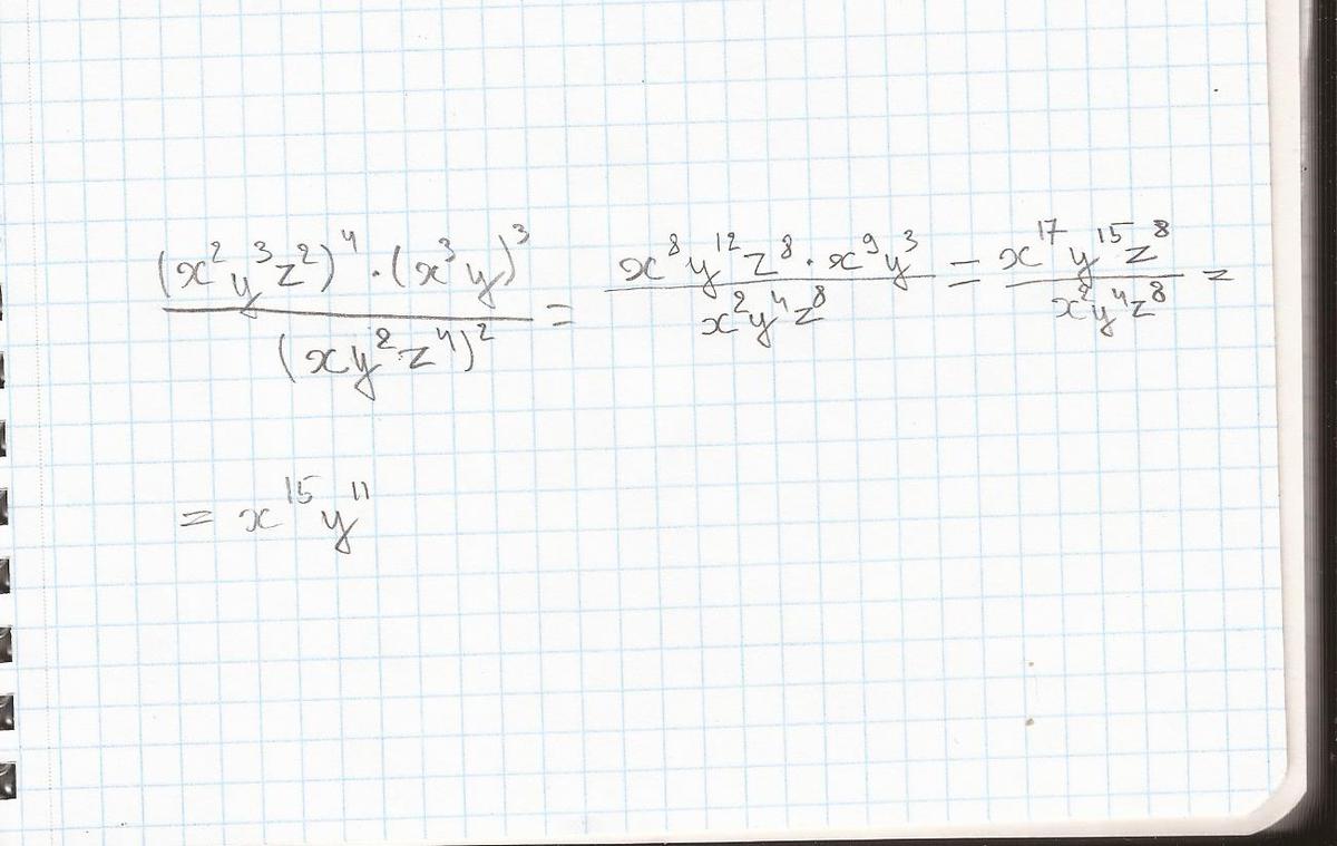
x^8y^12z^8*x^9y^3/x^2y^4z^8=x^17y^15z^8/x^2y^4z^8=x^15y^11
Приложения:

Ответ дал:
0
извените, а можно расписать на листке
Ответ дал:
0
Спасибо Вам большое)))
Вас заинтересует
2 года назад
7 лет назад
10 лет назад
10 лет назад
10 лет назад