• Предмет: Алгебра
  • Автор: ЧуДо000
  • Вопрос задан 11 лет назад

Решите по действиям (помогите пожалуйста) :


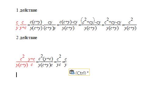
у+с  .  (с _   с   )
 с        (у    у+с ) 

(дробная черта по середине есть)

Ответы

Ответ дал: triolana
0

====================================================

Приложения:
Вас заинтересует