Ответы
Ответ дал:
0
...............................
Приложения:
Ответ дал:
0
1 1/8 × 9 1/3=9/8 × 28/3=3×7/2=21/2=10 1/2
3 3/4 ×1 7/9=15/4 ×16/9=5×4/3=20/3=6 2/3
3 3/8×1 1/15=27/8 × 16/15=9×2/5=18/5=3 3/5
####$$$$$
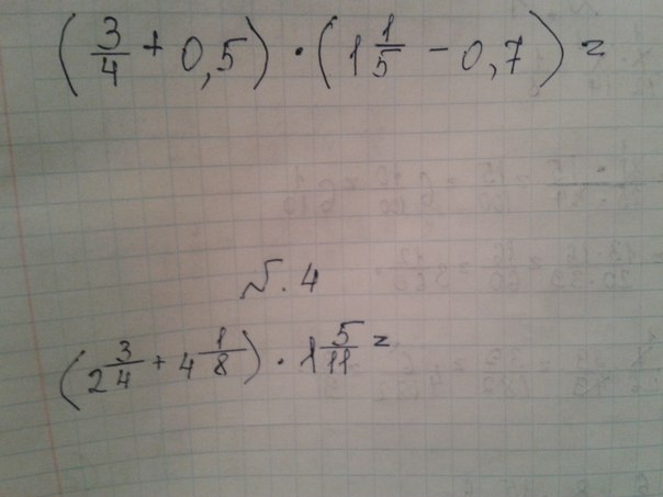
(3/4+0.5)(1 1/5 - 0.7)= (3/4+5/10)(6/5 - 7/10)= =(3/4 +1/2)(12/10 - 7/10)=(3/4+2/4)× 5/10 =
=5/4 × 1/2=5/8
###$#######$$
(2 3/4 + 4 1/8)× 1 5/11=(11/4+33/8)×16/11=
=(22/8 + 33/8)×16/11=55/8 × 16/11=10
3 3/4 ×1 7/9=15/4 ×16/9=5×4/3=20/3=6 2/3
3 3/8×1 1/15=27/8 × 16/15=9×2/5=18/5=3 3/5
####$$$$$
(3/4+0.5)(1 1/5 - 0.7)= (3/4+5/10)(6/5 - 7/10)= =(3/4 +1/2)(12/10 - 7/10)=(3/4+2/4)× 5/10 =
=5/4 × 1/2=5/8
###$#######$$
(2 3/4 + 4 1/8)× 1 5/11=(11/4+33/8)×16/11=
=(22/8 + 33/8)×16/11=55/8 × 16/11=10
Приложения:
Вас заинтересует
3 года назад
3 года назад
8 лет назад
8 лет назад
10 лет назад
10 лет назад
11 лет назад