Ответы
Ответ дал:
0
вот корочи
1. 6 1/3
2. -7
1. 6 1/3
2. -7
Ответ дал:
0
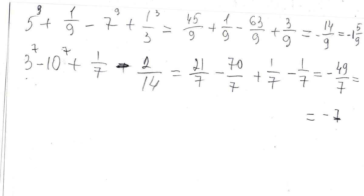
смотри решение во вложении
Приложения:

Вас заинтересует
2 года назад
2 года назад
7 лет назад
10 лет назад
10 лет назад
10 лет назад