• Предмет: Математика
  • Автор: viktorinka26
  • Вопрос задан 10 лет назад

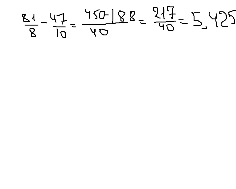
найдите значение выражения 8 1/8 - 4 7/10

Ответы

Ответ дал: katuha5663
0
.................................
Приложения:
Вас заинтересует