Ответы
Ответ дал:
0
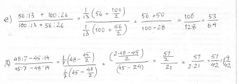
Принцип одинаковый для обоих примеров. Общий множитель выносится за скобку и сокращается
Приложения:

Вас заинтересует
2 года назад
7 лет назад
10 лет назад
10 лет назад
10 лет назад