• Предмет: Математика
  • Автор: 679a
  • Вопрос задан 10 лет назад

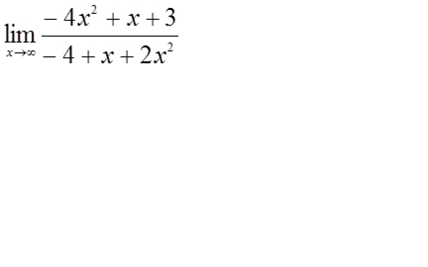
Вычислить предел функции

Приложения:

Ответы

Ответ дал: NNNLLL54
0
lim_{xto infty}frac{-4x^2+x+3}{-4+x+2x^2}=lim_{xto infty}frac{-4x^2}{2x^2}=frac{-4}{2}=-2
Вас заинтересует