• Предмет: Геометрия
  • Автор: Таморал
  • Вопрос задан 11 лет назад

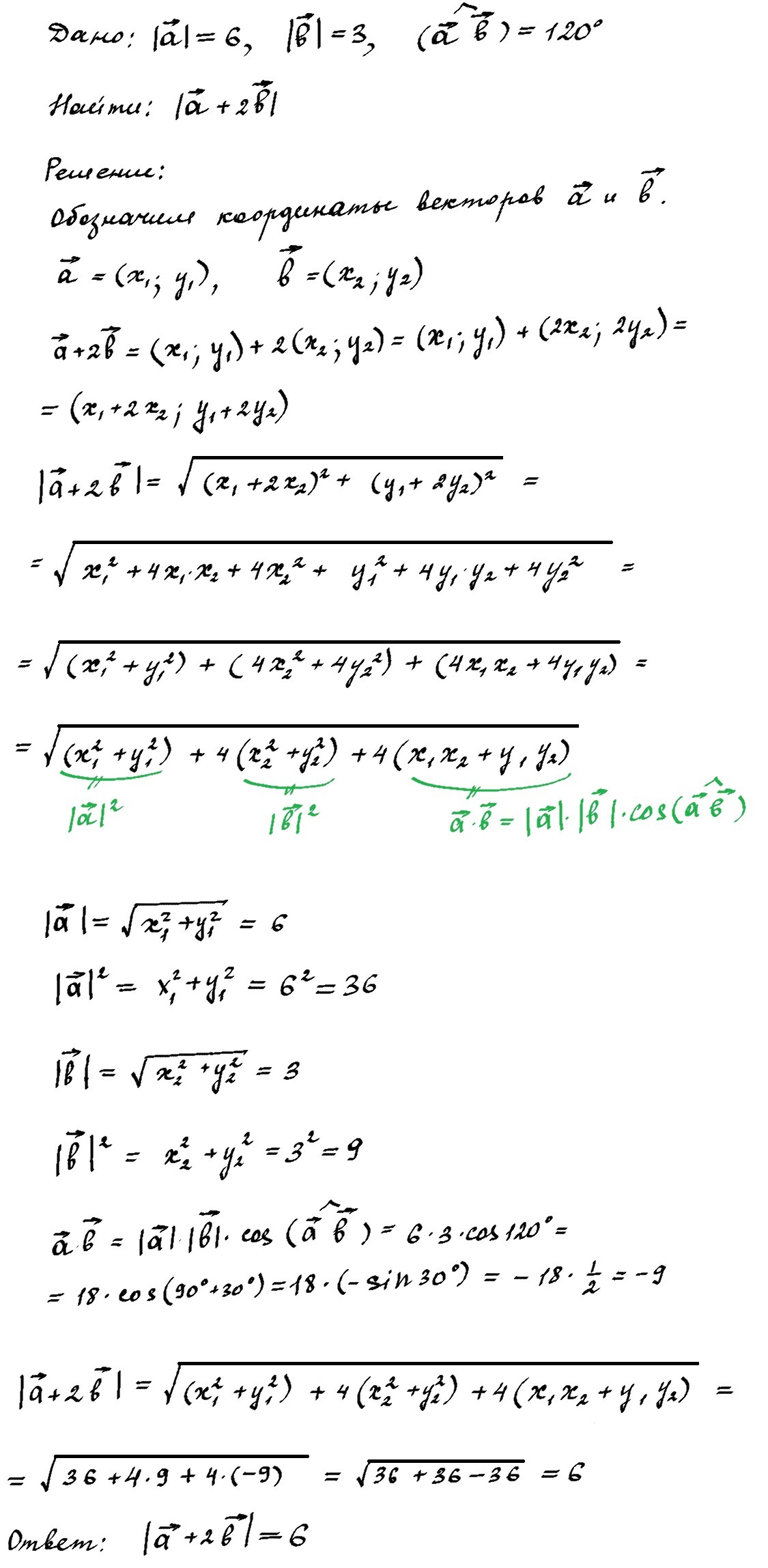
Даны векторы а и b, причем │a│= 6, │b│= 3 (a b)=120. Найдите │а + 2b│.

Ответы

Ответ дал: UluanaV
0
Решение в прикрепленном файле.
Приложения:
Вас заинтересует