Ответы
Ответ дал:
0
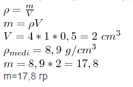
m=17,8 гр
Приложения:

Вас заинтересует
2 года назад
7 лет назад
7 лет назад
10 лет назад
10 лет назад
10 лет назад