упростите выражение:
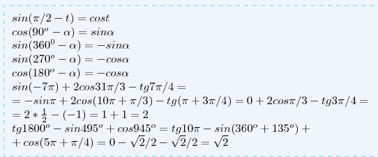
sin(п/2-t);
cos(90°-a)
sin(360°-a)
sin(270°-a)
cos(180°-a)
вычислите с помощью формул приведения:
cos 330°;ctg 315°
sin(-7п)+2cos31п/3-tg7п/4
tg1800°-sin495°+cos945°
cos(-9п)+2sin(-49п/6)-ctg(-21п/4)
Ответы
Ответ дал:
0
Приложения:


Вас заинтересует
2 года назад
7 лет назад
7 лет назад
10 лет назад
10 лет назад
10 лет назад