Ответы
Ответ дал:
0
Нужно раскрывать скобки. Правилом фонтанчика.
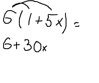
Т.е. возьмем первую часть - 6(1+5х).
Умножаем 6 на 1, потом на 5х, получается 6+30х
Теперь берем вторую часть - 5(1+6х)
Умножаем 5 на 1, а потом на 6х, получается 5+30х
Соединяем:
6+30х = 5+30х
Скобки раскрыты.
*я прикрепила рисунок
Т.е. возьмем первую часть - 6(1+5х).
Умножаем 6 на 1, потом на 5х, получается 6+30х
Теперь берем вторую часть - 5(1+6х)
Умножаем 5 на 1, а потом на 6х, получается 5+30х
Соединяем:
6+30х = 5+30х
Скобки раскрыты.
*я прикрепила рисунок
Приложения:

Вас заинтересует
2 года назад
7 лет назад
7 лет назад
10 лет назад
10 лет назад
10 лет назад
10 лет назад