Ответы
Ответ дал:
0
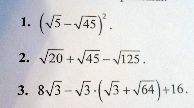
1.(√5-√45)^2=5-2*√5*√45+45=5-√900+45=5-30+45=20
2.√20+√45-√125=2√5+3√5-5√5=0
3.8*√3-√3*(√3+√64)+16=√192-3-√192+16=13
Теперь стало более понятно?)
Ответ дал:
0
Нет. Вы не ответили на вопрос.
Зачем подводить 2 под корень, если корень из пяти умноженный на корень из 45 будет равно корень из 225, что = 15?
Зачем подводить 2 под корень, если корень из пяти умноженный на корень из 45 будет равно корень из 225, что = 15?
Ответ дал:
0
Можно и не возводить было) Разницы никакой не будет.
Вас заинтересует
8 лет назад
10 лет назад
10 лет назад
11 лет назад
11 лет назад