Ответы
Ответ дал:
0
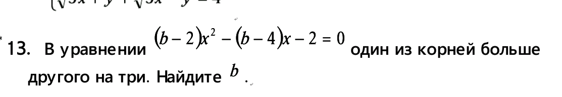
(b-2)x^2-(b-4)x-2=0
d=(b-4)^2+4*2*(b-2)=b^2-8b+16+8b-16=b^2
x1-x2=корень(d)/(b-2)=b/(b-2)=3
b=3b-6
2b=6
b=3 - это ответ
d=(b-4)^2+4*2*(b-2)=b^2-8b+16+8b-16=b^2
x1-x2=корень(d)/(b-2)=b/(b-2)=3
b=3b-6
2b=6
b=3 - это ответ
Вас заинтересует
8 лет назад
10 лет назад
10 лет назад