• Предмет: Алгебра
  • Автор: настасейка
  • Вопрос задан 11 лет назад

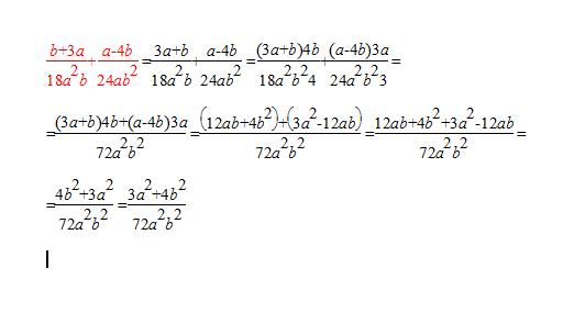
пожалуйста помогите! выполните действие:  frac{b+3a}{18a^{2}b}+frac{a-4b}{24ab^{2}}

Ответы

Ответ дал: triolana
0

====================================================

Приложения:
Вас заинтересует