• Предмет: Математика
  • Автор: макссссс
  • Вопрос задан 11 лет назад

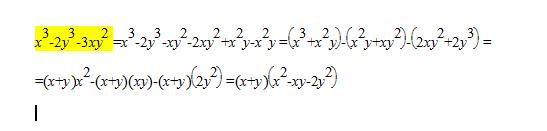
разложить на множетели: x^3 - 2y^3 - 3xy^2

Ответы

Ответ дал: triolana
0

=======================================================

Приложения:
Вас заинтересует