Ответы
Ответ дал:
0
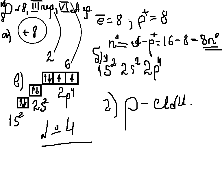
№1 и №4 во вложении.
№2
Уравнение:
N₂ + 3H₂ = 2NH₃
Рассчитаем количество вещества водорода:
n = V/Vm = 5,6л /22,4л/моль = 0,25 моль
По уравнению реакции:
n(NH₃) = 2/3n(N₂) = 0,167 моль
Рассчитаем объем аммиака:
V = Vm*n = 22,4л/моль*0,167 моль = 3,73л
Рассчитаем массу:
m = n*M = 0,167 моль*17 г/моль = 2,833 грамм
Рассчитаем число частиц:
N = Na*n = 6*10²³ молекул/моль*0,167 моль = 10²³ молекул
Ответ: ...
№3
Σe = 41
Σp = 42
Σn = 48
№2
Уравнение:
N₂ + 3H₂ = 2NH₃
Рассчитаем количество вещества водорода:
n = V/Vm = 5,6л /22,4л/моль = 0,25 моль
По уравнению реакции:
n(NH₃) = 2/3n(N₂) = 0,167 моль
Рассчитаем объем аммиака:
V = Vm*n = 22,4л/моль*0,167 моль = 3,73л
Рассчитаем массу:
m = n*M = 0,167 моль*17 г/моль = 2,833 грамм
Рассчитаем число частиц:
N = Na*n = 6*10²³ молекул/моль*0,167 моль = 10²³ молекул
Ответ: ...
№3
Σe = 41
Σp = 42
Σn = 48
Приложения:
Вас заинтересует
3 года назад
3 года назад
8 лет назад
8 лет назад
10 лет назад
10 лет назад
11 лет назад