• Предмет: Химия
  • Автор: utybz
  • Вопрос задан 10 лет назад

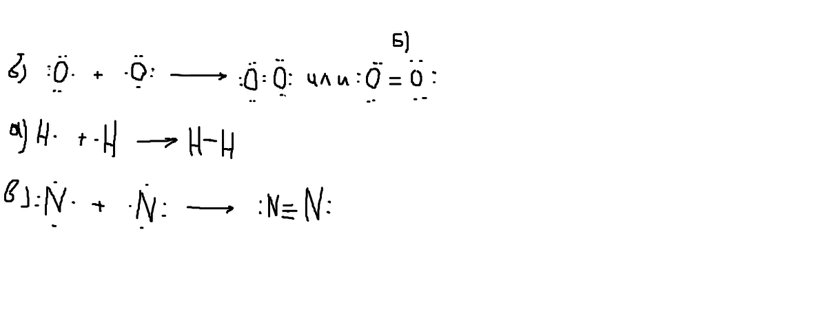
приведите примеры молекул в которых связь между двумя атомами осуществляется: а) одной парой электронов б) двумя парами электронов в) тремя парами электронов

Ответы

Ответ дал: KOPM
0
извини за кривоту, мышка плохая
Приложения:
Вас заинтересует