• Предмет: Физика
  • Автор: Helen36
  • Вопрос задан 10 лет назад

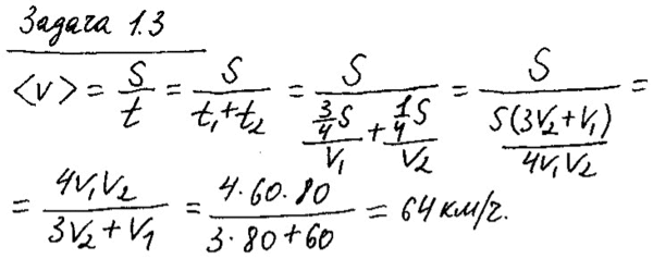
три четверти своего пути автомобиль прошел со скорость 60 километров в час остальную часть пути - со скоростью 80 километров в час. Какова средняя
скорость движения автомобиля?
В ответе: 64км/ч . Не понимаю, почему не 65. Задача по физике 7 класс, со звездочкой

Ответы

Ответ дал: Kamikad3e14
0
Вроде-бы так. Хз как правильно
Приложения:
Вас заинтересует