Ответы
Ответ дал:
0
как поняла____________________)))))))))))))))))))
добавила еще вариант))))
добавила еще вариант))))
Приложения:


Ответ дал:
0
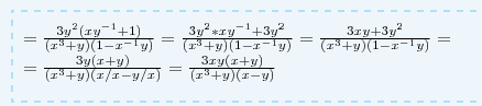
Там в знаменателе вторая скобка (1-х) неверно.Не их разность в минус первой степени,а только х,а еще умножается у не на их разность,а только на х
Ответ дал:
0
добавила
Ответ дал:
0
Тоже большое спасибо!
Ответ дал:
0
Приложения:

Ответ дал:
0
Картинка не тот пример
Ответ дал:
0
Это решение уже примера, преобразование в числителе. Знаменатель такой как в изначальном?
Вас заинтересует
2 года назад
7 лет назад
7 лет назад
10 лет назад
10 лет назад
10 лет назад