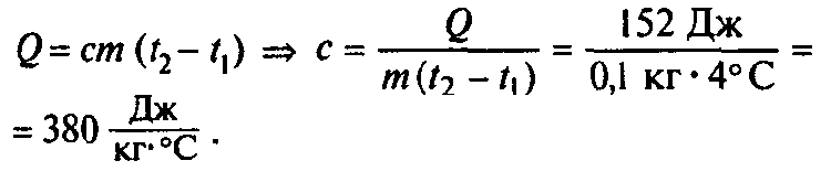
найдите удельную теплоемкость вещества для изменения температуру ото 20° до 24 внутренняя энергия увеличилась на 152 Дж. Масса бруска 150 г
Ответы
Ответ дал:
0
найдите удельную теплоемкость вещества для изменения температуру ото 20° до 24 внутренняя энергия увеличилась на 152 Дж. Масса бруска 150 г. Вот дано и решение
Приложения:
Вас заинтересует
3 года назад
3 года назад
8 лет назад
10 лет назад
11 лет назад
11 лет назад