• Предмет: Алгебра
  • Автор: NeznaykaYrokov
  • Вопрос задан 10 лет назад

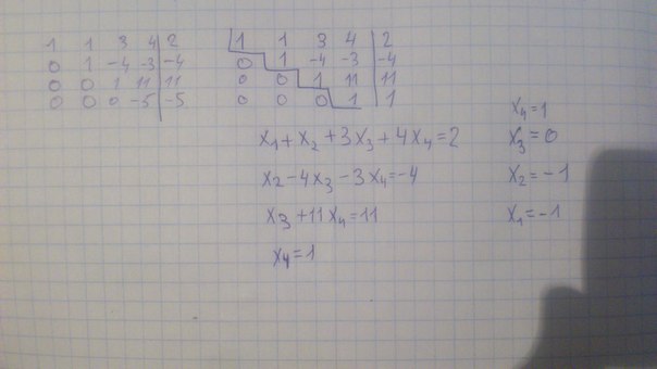
Нужно решить 2 уравнения в 9 варианте . И методом гаусса пожалуйста. Просто не был на парах болел)

Приложения:

Ответы

Ответ дал: agasikkk
0
Решил.......................
Приложения:
Ответ дал: NeznaykaYrokov
0
Вторую фотку плохо видно можете её на две части пожалуйста пересфоткать?
Ответ дал: agasikkk
0
Сейчас
Вас заинтересует