• Предмет: Алгебра
  • Автор: dil1ser
  • Вопрос задан 10 лет назад

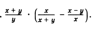
надо упростить выражение,помогите пожалуйста

Приложения:

Ответы

Ответ дал: 11stasy11
0
я так-то особо не разбираюсь в алгебре, но я написала бы так
Приложения:
Вас заинтересует