• Предмет: Алгебра
  • Автор: oks321321
  • Вопрос задан 10 лет назад

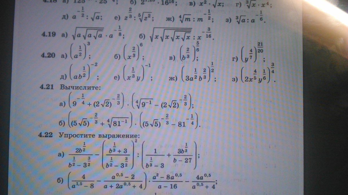
помогите упростить выражение 4.20 и 4.21. подробно пожалуйста. фото

Приложения:

Ответа на этот вопрос пока нет. Попробуйте найти его через форму поиска.

Вас заинтересует