Отдаю 158 баллов за подробный алгоритм сокращения таких дробей!
Какие действия нужно делать,к чему приводить и т.д.
Ответы
Ответ дал:
0
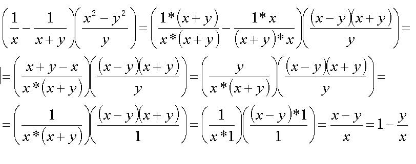
смотри решение во вложении
каждый шаг расписан подробно
алгоритм - все суммы и разности приводим под общую черту дроби
в числителях и знаменателях находим одинаковые множители и сокращаем их
каждый шаг расписан подробно
алгоритм - все суммы и разности приводим под общую черту дроби
в числителях и знаменателях находим одинаковые множители и сокращаем их
Приложения:
Вас заинтересует
3 года назад
3 года назад
8 лет назад
10 лет назад
10 лет назад
11 лет назад