• Предмет: Алгебра
  • Автор: albefitz
  • Вопрос задан 10 лет назад

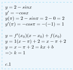
Найдите тангенс угла наклона к оси абсцисс касательной, проходящей через точку М(π;2). к графику функции у = 2 – sinx.

Выберите один ответ:
a. 2
b. 3
c. 1
d. 4

Ответы

Ответ дал: Anastsiia
0
y=2-sinx \ y'=-cosx \ y( pi)=2-sin pi =2-0=2 \ y'( pi )=-cos pi =-(-1)=1 \  \ y=f'(x_0)(x-x_0)+f(x_0) \ y=1(x- pi )+2=x- pi +2 \ y=x- pi +2=kx+b \ =>k=1 \  \ c.1
Приложения:
Вас заинтересует