• Предмет: Алгебра
  • Автор: Makaresha99
  • Вопрос задан 10 лет назад

846,848 и 856 пожалуйста :

Приложения:

Ответы

Ответ дал: Anastsiia
0
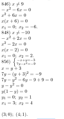
846)  x neq 9 \ - x^{2} -6x=0 \  x^{2} +6x=0 \ x(x+6)=0 \ x_1=0; x_2=-6. \ 
848) x neq -10 \ - x^{2} +2x=0 \  x^{2} -2x=0 \ x(x-2)=0 \ x_1=0; x_2=2. \
856)  left { {{-x+y=-3} atop {7y- x^{2} =-9}} right.  \ x=y+3 \ 7y-(y+3)^2=-9 \ 7y-y^2-6y-9+9=0 \ y-y^2=0 \ y(1-y)=0 \ y_1=0; y_2=1 \ x_1=3; x_2=4 \  \ (3;0);  (4;1).
Приложения:
Вас заинтересует