Ответы
Ответ дал:
0
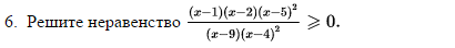
Решаем методом интервалов. Для начала приравняем выражение к 0 и найдем корни. Три корня выколотых в ОДЗ (9, 4 и 4) и Четыре обычных (1, 2, 5 и 5). Выставляем их на числовую прямую, отмечаем промежутки и расставляем в них знаки согласно старшему коофициенту. Не забываем про знак неравенства. отмечаем нужные промежутки и записываем ответ.
Приложения:

Вас заинтересует
2 года назад
7 лет назад
7 лет назад
10 лет назад
10 лет назад
10 лет назад