• Предмет: Алгебра
  • Автор: Ильназ5
  • Вопрос задан 11 лет назад

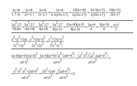
помогите пожалуйста) 3х+6  =

                                  1,7-2х =

Приложения:

Ответы

Ответ дал: Ксения79
0

frac{5x}{7,7}


frac{3а}{-9}

не знаю правильно или нет но я только 2 смогла решить и для кокого класса? 

Ответ дал: triolana
0

=================================================

Приложения:
Вас заинтересует