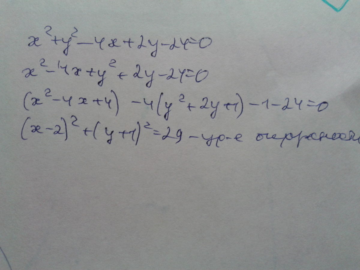
Будьте добры, помогите составить уравнение радиуса, проведенного в точку А(-3;1) окружности x2+y2-4x+2y-24=0
Ответы
Ответ дал:
0
Всё решаем по формулам...
Приложения:


Ответ дал:
0
(х²-4х+4) +(у²+2у+1)-29=0
(х-2)²+(у+1)²=29⇒R=√29
или
О(2;-1) A(-3;1)
У=kx+c
-1=2k+c
1=-3k+c
отнимем
-2=5к⇒к=-0,4
с=-1+0,8=-0,2
у=-0,4х-0,2
(х-2)²+(у+1)²=29⇒R=√29
или
О(2;-1) A(-3;1)
У=kx+c
-1=2k+c
1=-3k+c
отнимем
-2=5к⇒к=-0,4
с=-1+0,8=-0,2
у=-0,4х-0,2
Приложения:


Вас заинтересует
2 года назад
7 лет назад
7 лет назад
10 лет назад
10 лет назад