• Предмет: Алгебра
  • Автор: энтибилотозаэспиноза
  • Вопрос задан 11 лет назад

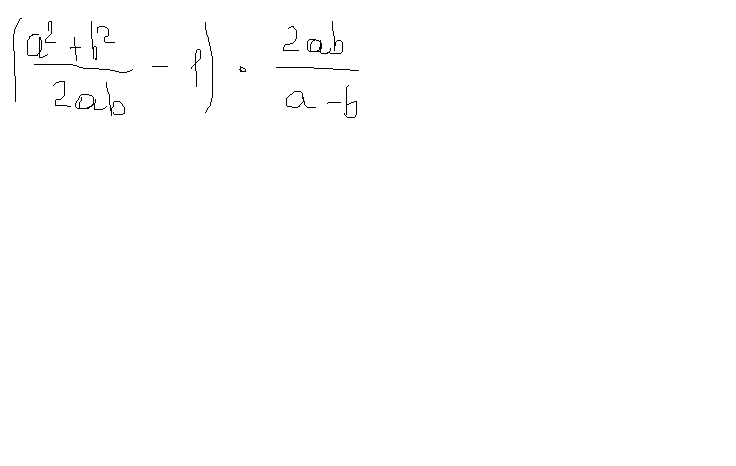
Упростите выражение:по действиям

Приложения:

Ответы

Ответ дал: triolana
0

===================================================

Приложения:
Ответ дал: Tonya13
0

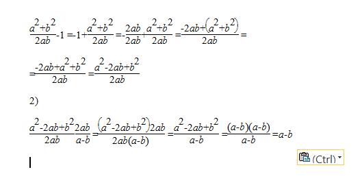
(frac{a^{2}+b^{2}}{2ab}-1)*frac{2ab}{a-b}

1) frac{a^{2}+b^{2}}{2ab}-1=frac{a^{2}+b^{2}-2ab}{2ab}=frac{(a+b)^{2}}{2ab}

2) frac{(a-b)^{2}}{2ab}*frac{2ab}{a-b}=frac{(a-b)^{2}*2ab}{2ab*(a-b)}=a-b

Приложения:
Вас заинтересует