• Предмет: Математика
  • Автор: Крутой65
  • Вопрос задан 10 лет назад

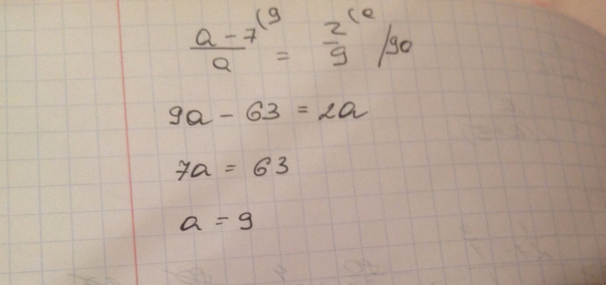
найдите а если а-7/а =2/9
Объяснить подробнее пожаалуййсттаа

Ответы

Ответ дал: vivalaviva12
0
Во вложении...............
Приложения:
Ответ дал: selmash21
0
(а-7)/а=2/9
9(а-7)=2а
9а-63=2а
9а-2а=63
7а=63
а=63÷7
а=9
Приложения:
Вас заинтересует