Ответы
Ответ дал:
0
См. решение в приложении
Приложения:

Ответ дал:
0
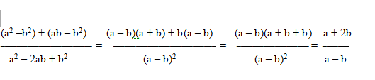
(a^2 - b^2) = (a - b)(a + b)
(ab - b^2) = b(a - b)
a^2 - 2ab - b^2 = (a - b)^2
((a - b)(a + b) + b(a - b))/(a - b)^2
везде сокращаются (a - b)
(ab - b^2) = b(a - b)
a^2 - 2ab - b^2 = (a - b)^2
((a - b)(a + b) + b(a - b))/(a - b)^2
везде сокращаются (a - b)
Приложения:

Ответ дал:
0
А ответ какой будет ?
Вас заинтересует
7 лет назад
7 лет назад
10 лет назад
10 лет назад