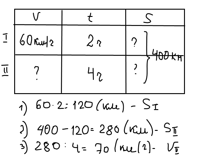
Автомобиль проехал 400 километров. Двигаясь со скоростью 60 км/час, он проехал за 2 часа первую часть пути. С какой скоростью он двигался остальную часть пути, если он затратил на нее 4 часа?
Ответы
Ответ дал:
0
60*2=120 км проехал за 2 часа
400-120=280 км осталось
280:4=70 км/ч
Ответ 70 км/ч
400-120=280 км осталось
280:4=70 км/ч
Ответ 70 км/ч
Ответ дал:
0
Условие и решение в прикрепленном рисунке
Приложения:

Вас заинтересует
2 года назад
2 года назад
7 лет назад
10 лет назад
10 лет назад