• Предмет: Химия
  • Автор: pleasebeclever
  • Вопрос задан 10 лет назад

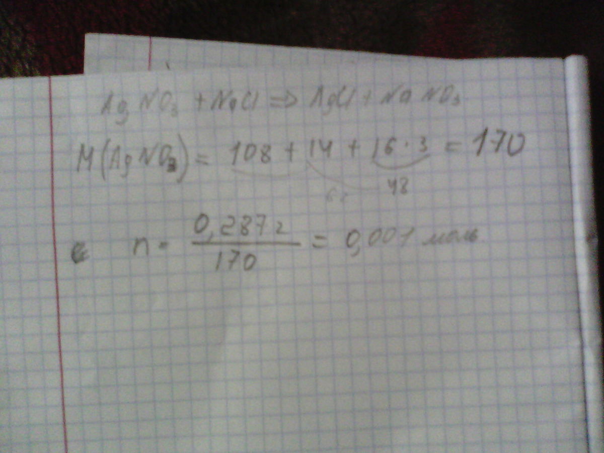
Рассчитайте массу нитрата серебра, который прилили к хлориду натрия:
AgNO₃+NaCl=AgCl+NaNO₃, если масса AgNO₃ составила 0,287г.

Ответы

Ответ дал: zubareva45
0
На мой взгляд, Вы допустили ошибку в содержании задачи. Проверьте, пожалуйста.
Ответ дал: ВикулькаD
0
0,001моль Решение на фото)
Приложения:
Вас заинтересует