• Предмет: Физика
  • Автор: monstrick
  • Вопрос задан 11 лет назад

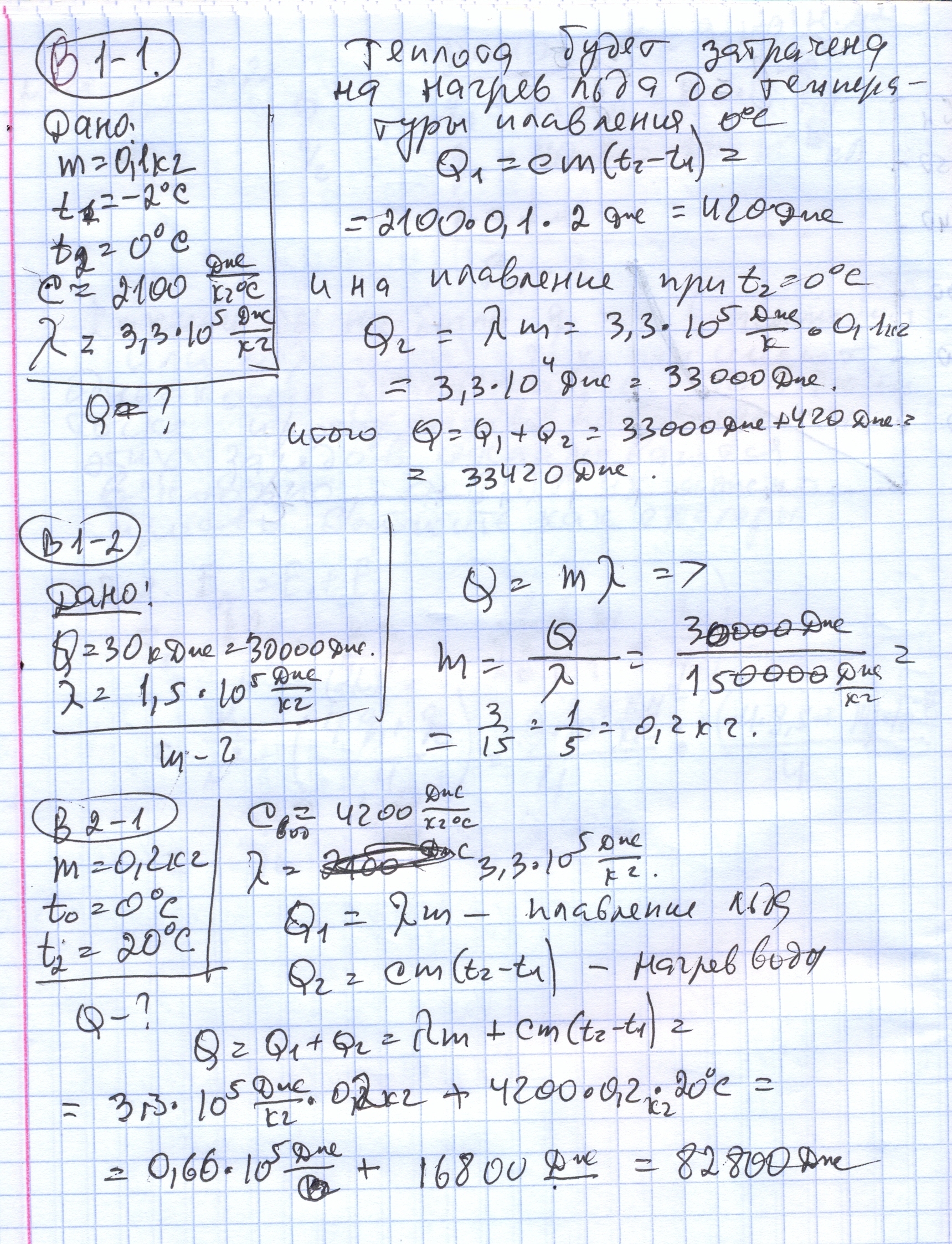
ребят выручайте пожалуйста!!СРОЧНО нужно решение до пятницы!!! Вариант 1 1. Какое количество теплоты необходимо для превращения кусочка льда массой 100 г, взятого при температуре -2 °С, в воду при температуре 0°С? 2. Найдите массу парафиновой свечи, если при ее отвердевании выделяется 30 кДж энергии. Вариант 2 1. Какое количество теплоты необходимо для превращения кусочка льда массой 200 г, взятого при 0 °С, в воду при температуре 20 °С? 2. Для плавления медного слитка массой 2 кг потребовалось 420 кДж энергии. Определите по этим данным удельную теплоту плавления меди.

Ответы

Ответ дал: ужнеужели
0
акое количество теплоты необходимо для превращения кусочка льда массой 100 г, взятого при температуре -2 °С, в воду при температуре 0°С? 2. Найдите массу парафиновой свечи, если при ее отвердевании выделяется 30 кДж энергии. 
Приложения:
Вас заинтересует