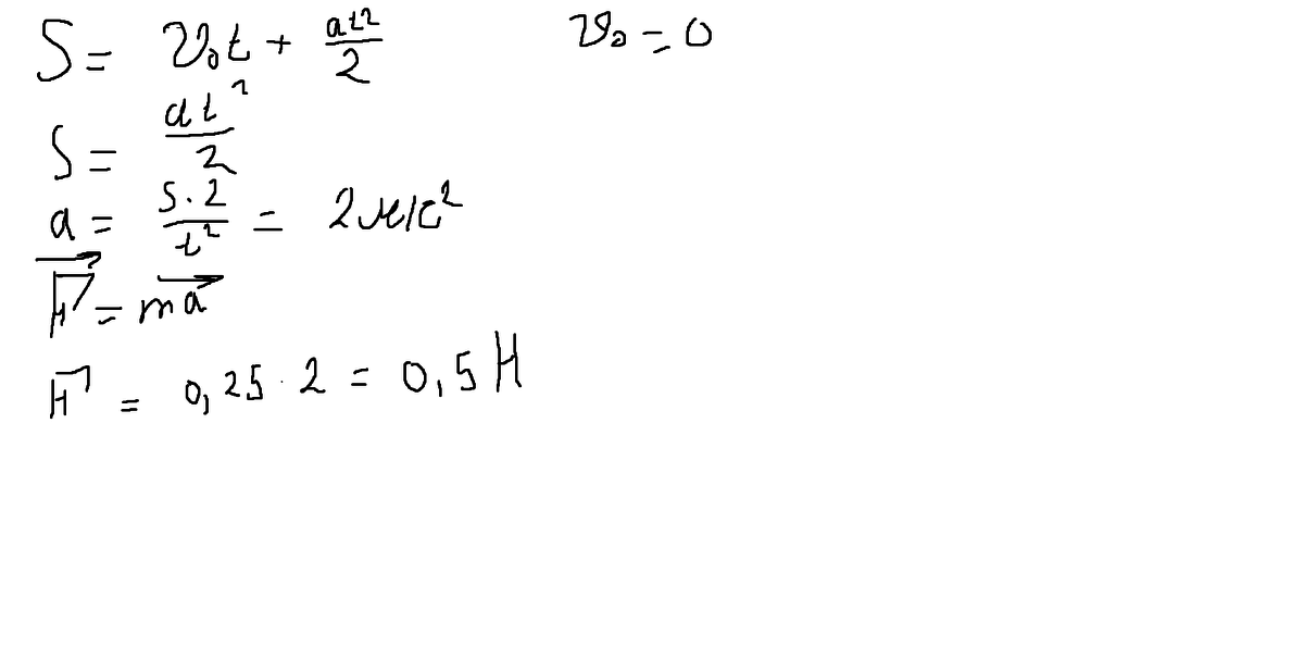
Шарик массой 250 г под действием постоянной силы прошёл за первые 2 секунды 4 метра. Определите эту силу.
Ответы
Ответ дал:
0
,,,,,,,,,,,,,,,,,,,,,,,,,,,,,,,,,,,,,,,,,,,,,,,,
Приложения:

Ответ дал:
0
Сила в Н
Вас заинтересует
2 года назад
2 года назад
7 лет назад
7 лет назад
10 лет назад
10 лет назад
10 лет назад