• Предмет: Алгебра
  • Автор: dasha278258
  • Вопрос задан 10 лет назад

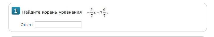
Найдите корень уравнения (см. Фото)

Приложения:

Ответы

Ответ дал: xapugin2012
0
-5/7х=55/7
х=55/7:(-5/7)
х=55/7*(-7/5)
х= -11
Ответ дал: Max45746
0
-5/7x=7 6/7 
-5/7x*7=55/7*7
-5x=55
x=55*(-5)
x=-11

Вас заинтересует