• Предмет: Алгебра
  • Автор: dasha278258
  • Вопрос задан 10 лет назад

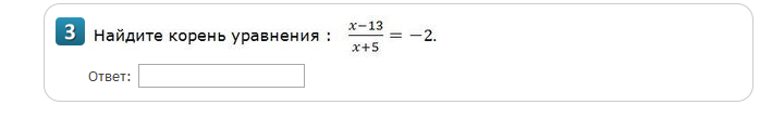
Найдите корень уравнения (См. Фото)

Приложения:

Ответы

Ответ дал: xapugin2012
0
-2*(х+5)=х-13
-2х-10=х-13
-2х-х= -13+10
-3х= -3
х= -3:(-3)
х=1
Вас заинтересует