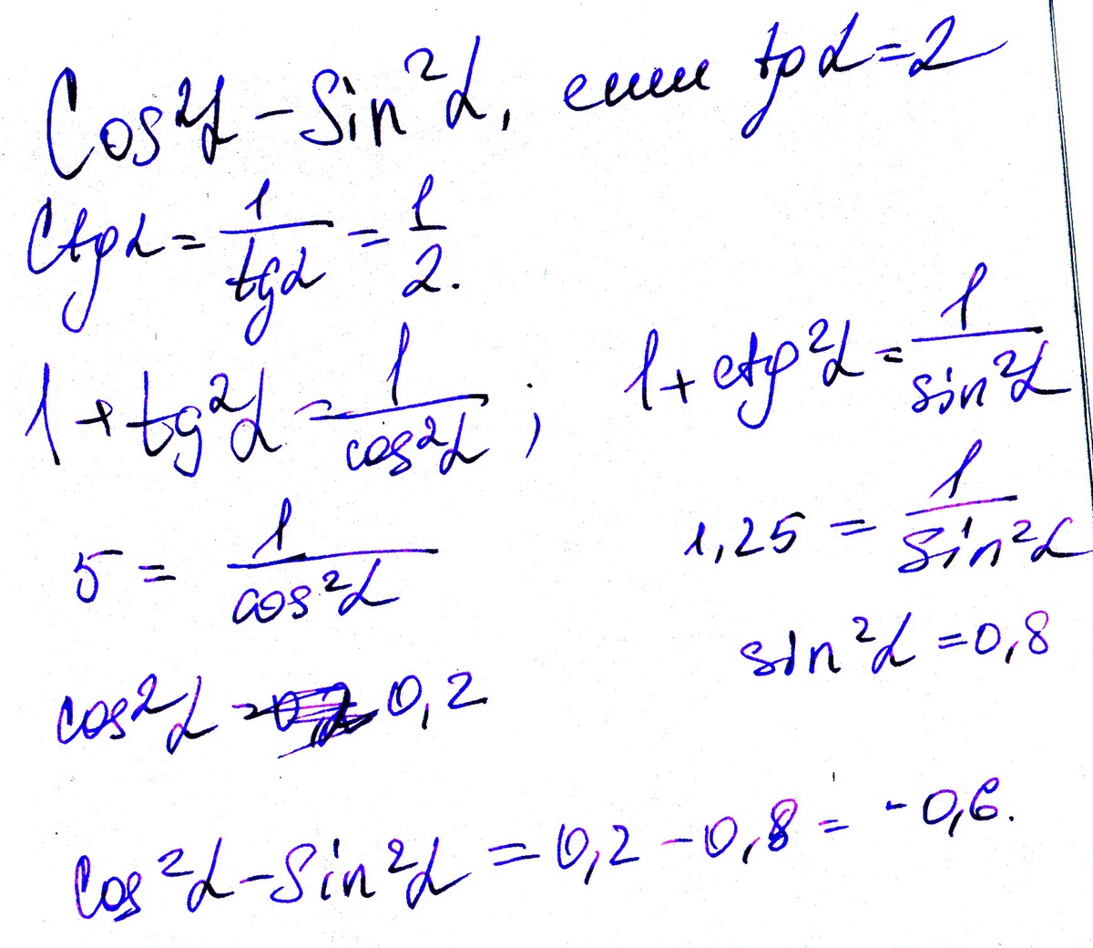
найдите знач. вражения косинус в квадрате альфа минус синус в квадрате альфа, если тангенс альфа равен двум. спасибо зарание
Ответы
Ответ дал:
0
надеюсь, что правильно..
Приложения:

Ответ дал:
0
есть несколько вариантов ответов это: 1,-1, -13, -35
Ответ дал:
0
-3/5
Вас заинтересует
2 года назад
7 лет назад
10 лет назад
10 лет назад