Ответы
Ответ дал:
0
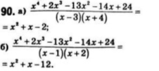
1)Корнями x^4+2x³-13x²-14x+24 могут быть делители свободного члена 24,это
+-1;+-2;+-3;+-4;+-6;+-12;+-24
Проверим х=1 1+2-13-14+24=0
х=-2 16-16-52+28+24=0
х=3 81+54-117-42+24=0
х=-4 256-128-208+56+24=0
(x^4+2x³-13x²-14x+24 )/(х-3)(х+4)=(х-1)(х+2)(х-3)(х+4)/(х-3)(х+4)=(х-1)(х+2)=х²+х-2
х²+х-2=х²+х-2
2) так же
(x^4+2x³-13x²-14x+24 )/(х-3)(х+4)=(х-1)(х+2)(х-3)(х+4)/(х-1)(х+2)=(х-3)(х+4)=х²+х-12
х²+х-12=х²+х-12
+-1;+-2;+-3;+-4;+-6;+-12;+-24
Проверим х=1 1+2-13-14+24=0
х=-2 16-16-52+28+24=0
х=3 81+54-117-42+24=0
х=-4 256-128-208+56+24=0
(x^4+2x³-13x²-14x+24 )/(х-3)(х+4)=(х-1)(х+2)(х-3)(х+4)/(х-3)(х+4)=(х-1)(х+2)=х²+х-2
х²+х-2=х²+х-2
2) так же
(x^4+2x³-13x²-14x+24 )/(х-3)(х+4)=(х-1)(х+2)(х-3)(х+4)/(х-1)(х+2)=(х-3)(х+4)=х²+х-12
х²+х-12=х²+х-12
Вас заинтересует
10 лет назад
10 лет назад
11 лет назад