Ответы
Ответ дал:
0
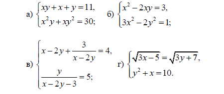
а)
xy=t
x+y=z
********
t+z=11
t*z=30
***выражаем t=11-z , подставляем, решаем квадратное уравнение****
t=5 z=6 => xy=5 x+y=6 => x=5 y=1 или x=1 y=5
или
t=6 z=5 => xy=6 x+y=5 => x=2 y=3 или x=3 y=2
********
ответ (2;3) (3;2) (1;5) (5;1)
в)
x-2y=t
t+3/t=4
t=1 или t=3
***********
x-2y=1; y/(1-3)=5 => x-2y=1; y=-10 => x=-19; y=-10
или
x-2y=3; y/(3-3)=5 =>нет решений
***************
ответ x=-19; y=-10
г)
одз 3х-5 = 3y+7 >= 0
********
3х-5 = 3y+7
y^2+x=10
******
х = y+4
y^2+y+4=10
******
х = y+4
y^2+y-6=0
******
y=-3 x=1 - не входит в одз
или
y=2 x=6 - входит в одз
*********
ответ x=6;y=2
б)
x^2-2xy=3
3x^2-2y^2=1
************** умножаем второе на 3 и вычитаем первое
9x^2-6y^2-x^2+2xy=3-3
3x^2-2y^2=1
***************
8x^2-6y^2+2xy=0
3x^2-2y^2=1
***************
4x^2-3y^2+xy=0 - делим на y^2
3x^2-2y^2=1
***************
4(x/y)^2+x/y-3=0 - квадратное уравнение относительно х/y
3x^2-2y^2=1
***************
4(x/y)^2+x/y-3=0
d=1+4*4*3=49
x/y=(-1-7)/8=-1 или x/y=(-1+7)/8=3/4
********************
х=-y; 3x^2-2y^2=1=> х=1; у=-1 или х=-1; у=1
или
х=3y/4; 3x^2-2y^2=1=> нет решений
***************
ответ (1;-1);(-1;1)
xy=t
x+y=z
********
t+z=11
t*z=30
***выражаем t=11-z , подставляем, решаем квадратное уравнение****
t=5 z=6 => xy=5 x+y=6 => x=5 y=1 или x=1 y=5
или
t=6 z=5 => xy=6 x+y=5 => x=2 y=3 или x=3 y=2
********
ответ (2;3) (3;2) (1;5) (5;1)
в)
x-2y=t
t+3/t=4
t=1 или t=3
***********
x-2y=1; y/(1-3)=5 => x-2y=1; y=-10 => x=-19; y=-10
или
x-2y=3; y/(3-3)=5 =>нет решений
***************
ответ x=-19; y=-10
г)
одз 3х-5 = 3y+7 >= 0
********
3х-5 = 3y+7
y^2+x=10
******
х = y+4
y^2+y+4=10
******
х = y+4
y^2+y-6=0
******
y=-3 x=1 - не входит в одз
или
y=2 x=6 - входит в одз
*********
ответ x=6;y=2
б)
x^2-2xy=3
3x^2-2y^2=1
************** умножаем второе на 3 и вычитаем первое
9x^2-6y^2-x^2+2xy=3-3
3x^2-2y^2=1
***************
8x^2-6y^2+2xy=0
3x^2-2y^2=1
***************
4x^2-3y^2+xy=0 - делим на y^2
3x^2-2y^2=1
***************
4(x/y)^2+x/y-3=0 - квадратное уравнение относительно х/y
3x^2-2y^2=1
***************
4(x/y)^2+x/y-3=0
d=1+4*4*3=49
x/y=(-1-7)/8=-1 или x/y=(-1+7)/8=3/4
********************
х=-y; 3x^2-2y^2=1=> х=1; у=-1 или х=-1; у=1
или
х=3y/4; 3x^2-2y^2=1=> нет решений
***************
ответ (1;-1);(-1;1)
Вас заинтересует
2 года назад
2 года назад
8 лет назад
8 лет назад
10 лет назад
11 лет назад