• Предмет: Алгебра
  • Автор: irairborisova
  • Вопрос задан 10 лет назад

Помогите пожалуйста,очень надо! 

Приложения:

Ответы

Ответ дал: Ekaterina1819
0
Получится вот так. Но учи правила и делай все сама. 
Приложения:
Ответ дал: lexusenok
0
^ - значок степени

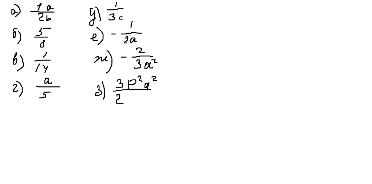
а) а/3б
б) 5/8
в) 1/14
г) а/5
д) 1/3с
е) - 1/2а
ж) - 2/3а^2
з) 3 p^2 q^2 / 2
Приложения:
Вас заинтересует