Ответы
Ответ дал:
0
Решение
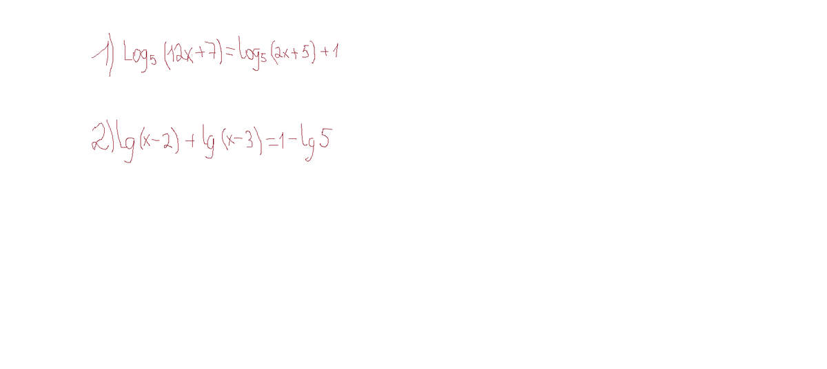
1) log (12x +7)=log (2x+5)*5
12x+7=10x+25
2x=18
x=9
2) lg(x-2)*(x-3)=lg2
Область определения: x - 2 >0 x>2 b x-3>0 x> 3 отсюда следует: x>3
x∧2-5x+6-2=0
x∧2-5x+4=0
x1=1 не удовлетворяет области определения.
x2=4
1) log (12x +7)=log (2x+5)*5
12x+7=10x+25
2x=18
x=9
2) lg(x-2)*(x-3)=lg2
Область определения: x - 2 >0 x>2 b x-3>0 x> 3 отсюда следует: x>3
x∧2-5x+6-2=0
x∧2-5x+4=0
x1=1 не удовлетворяет области определения.
x2=4
Ответ дал:
0
Спасибо большое))
Вас заинтересует
3 года назад
3 года назад
8 лет назад
10 лет назад
10 лет назад
11 лет назад