• Предмет: Алгебра
  • Автор: АлинаГецман
  • Вопрос задан 10 лет назад

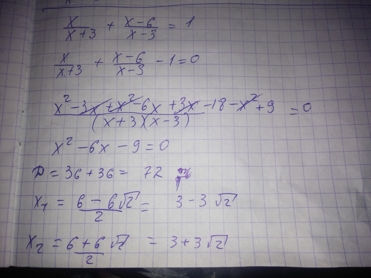
решите уравнение. x/x+3 + x-6/x-3 =1. распишите решение.

Ответы

Ответ дал: ProstoD
0
решение на фотографии                       
Приложения:
Ответ дал: Аноним
0
если что то непонятно с почерком .....напиши я объясню что там пишет ....и если что то не понятно переспроси....рада буду помочь)))
Приложения:
Вас заинтересует