• Предмет: Химия
  • Автор: АнастасияО9
  • Вопрос задан 10 лет назад

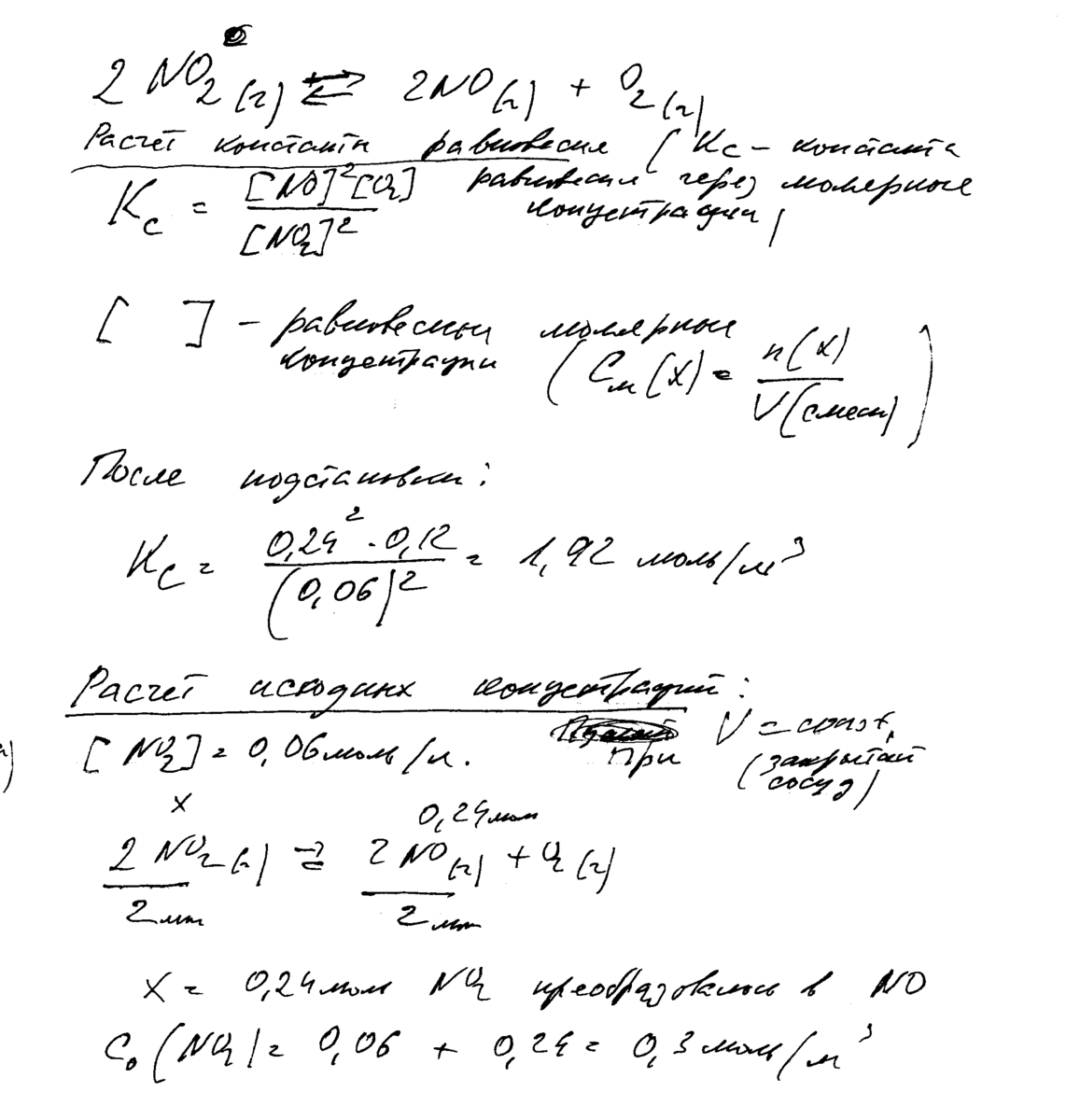
Равновесие
в системе 2NO2=2NO+O2 при некоторой
температуре установилось при концентрациях в моль/м3: [NO2]
= 0,06; [NO] = 0,24; [O2] = 0,12. Определите константу равновесия и рассчитайте исходную
концентрацию NO2.     


 Ответ: 1,92; 0,3 моль/м3.
Пожалуйста, максимально подробно.

Ответы

Ответ дал: sirchemistry1
0
Успехов!!!!!!!!!!!!!!!!!!!!!!!!
Приложения:
Вас заинтересует