• Предмет: Математика
  • Автор: JESUS132
  • Вопрос задан 10 лет назад

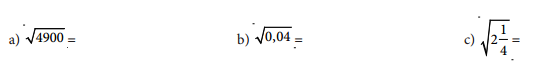
Назовите квадратный корень каждого этого числа

Приложения:

Ответы

Ответ дал: MM18
0
1) √4900 = 70
2) √0.04 = 0.2
3) √2 1/4 = √9/4 = 3/2 = 1,5
Ответ дал: LittleBadGirl
0
Держи

1) 70
2) 0,2
3) 3/2
Вас заинтересует