Решить в екселе.................................................................................................
Приложения:

Ответы
Ответ дал:
0
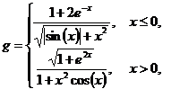
Если в ячейке B4 записать значение х, то в ячейке С5 получим значение g, записав такую формулу:
=IF(B4>0;SQRT(1+EXP(2*B4))/(1+B4*B4*COS(B4));(1+2*EXP(-B4))/SQRT(ABS(SIN(B4))+B4*B4))
=IF(B4>0;SQRT(1+EXP(2*B4))/(1+B4*B4*COS(B4));(1+2*EXP(-B4))/SQRT(ABS(SIN(B4))+B4*B4))
Приложения:
Вас заинтересует
2 года назад
2 года назад
7 лет назад
10 лет назад
10 лет назад
10 лет назад