Ответы
Ответ дал:
0
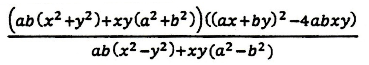
Решение Упрощаем числитель- раскрываем скобки и группируем слагаемые в числителе:
a∧2x∧2 +2ax/by + b∧2y∧2 - 4abxy = (ax - by)∧2
abx∧2 + aby∧2 + a∧2xy + b∧2xy = (ay + bx) (ax + bY)
(ax - by)∧2(ay + bx) (ax + bY)
Упрощаем знаменатель - раскрываем скобки и группируем слагаемые
ax(bx +ay) - by(ay +bx) = (bx +ay)(ax - by)
Дробь сокращается на (bx +ay)(ax - by)
Получаем: a∧2x∧2 - b∧2y∧2
a∧2x∧2 +2ax/by + b∧2y∧2 - 4abxy = (ax - by)∧2
abx∧2 + aby∧2 + a∧2xy + b∧2xy = (ay + bx) (ax + bY)
(ax - by)∧2(ay + bx) (ax + bY)
Упрощаем знаменатель - раскрываем скобки и группируем слагаемые
ax(bx +ay) - by(ay +bx) = (bx +ay)(ax - by)
Дробь сокращается на (bx +ay)(ax - by)
Получаем: a∧2x∧2 - b∧2y∧2
Вас заинтересует
2 года назад
2 года назад
8 лет назад
8 лет назад
10 лет назад
10 лет назад