Ребята помогите пожалуйста,срочно я решаю решаю не получается....(
Найти значение многочлена:
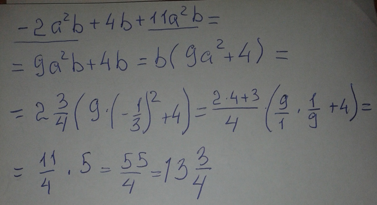
-2а²b+4b+11a²b при а= - 1/3(обыкновенная дробь) и b= 2 3/4 (это смешанное число две целых три четвёртых)
Заранее спасибо,буду благодарна за помощь
Ответы
Ответ дал:
0
Посмотрите решение на фото
Приложения:

Ответ дал:
0
Спасибо :о_)))
Ответ дал:
0
Я могу ещё 2 написать :З
Вас заинтересует
2 года назад
7 лет назад
10 лет назад
10 лет назад