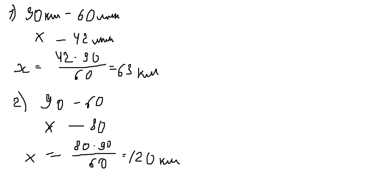
поезд проходит в среднем 90 км в час сколько километров пройдёт он за 42 минуты ? за 1 час 20 минут ?
без долей таких как :
90 * 0,7
плачу 25 баллов
Делитель увеличили в 20 раз , а делимое уменьшили в 4 раза . как изменилось частное ?
я думаю : частное уменьшилось в 16 раз
Ответы
Ответ дал:
0
Первое задание так решают.
Приложения:

Вас заинтересует
2 года назад
7 лет назад
10 лет назад
10 лет назад
10 лет назад